COAT-ARM Hastings District Council

 

Civic Administration Building

Lyndon Road East, Hastings

Phone:  (06) 871 5000

Fax:  (06) 871 5100

 

 

 

 

 

OPEN

 

Attachments Under Separate Cover

 

 

Rural Halls Subcommittee MEETING

 

 

Meeting Date:

Monday, 10 September 2018

Time:

1.00pm

Venue:

Landmarks Room

Ground Floor

Civic Administration Building

Lyndon Road East

Hastings

 

 

item    subject                                                                                                                   page

    

4.         Rural Halls Maintenance - 2018/2019 Funding Round

Attachment 5:    Te Awanga Hall                                                                                1

Attachment 6:    Revised quotation Te Awanga hall roofing                               11

Attachment 7:    Farndon Park Domain                                                                   13

Attachment 8:    Revised quotation - Farndon Park                                              31

Attachment 9:    Twyford and Raupare Hall                                                           33

Attachment 10: Patoka Hall                                                                                      45

Attachment 11: Pakowhai Hall                                                                                53

Attachment 12: Maraekakaho Hall                                                                          61

Attachment 13: Rural Hall Survey - Maraekakaho                                               79

Attachment 14: Rural Hall Survey - Te Awanga                                                   85

Attachment 15: Rural Hall Survey - Farndon Park Domain Hall                       89

Attachment 16: Rural HallSurvey - Pakowhai                                                      91

Attachment 17: Twyford & Raupare Memorial Hall                                              97    


Te Awanga Hall

Attachment 5

 

PDF Creator


 

PDF Creator


 

PDF Creator


 

PDF Creator


 

PDF Creator


 

PDF Creator


 

PDF Creator


 

PDF Creator


 

PDF Creator


Revised quotation Te Awanga hall roofing

Attachment 6

 

PDF Creator


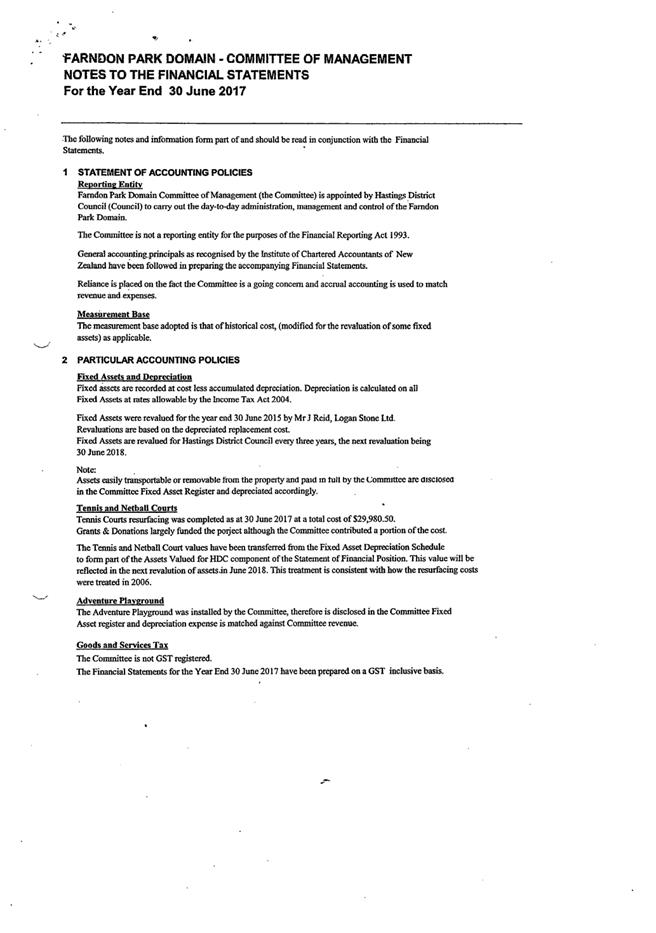
Farndon Park Domain

Attachment 7

 

PDF Creator


Farndon Park Domain

Attachment 7

 

PDF Creator


Farndon Park Domain

Attachment 7

 

PDF Creator


 

PDF Creator


 

PDF Creator


 

PDF Creator


 

PDF Creator


 

PDF Creator


 

PDF Creator


 

PDF Creator


 

PDF Creator


 

PDF Creator


 

PDF Creator


 

PDF Creator


 

PDF Creator


 

PDF Creator


Farndon Park Domain

Attachment 7

 

PDF Creator


Farndon Park Domain

Attachment 7

 

PDF Creator


Revised quotation - Farndon Park

Attachment 8

 

PDF Creator


 

PDF Creator


Twyford and Raupare Hall

Attachment 9

 

PDF Creator


 

PDF Creator


 

PDF Creator


 

PDF Creator


 

PDF Creator


 

PDF Creator


 

PDF Creator


 

PDF Creator


 

PDF Creator


 

PDF Creator


 

PDF Creator


Patoka Hall

Attachment 10

 

PDF Creator


 

PDF Creator


 

PDF Creator


 

PDF Creator


 

PDF Creator


 

PDF Creator


 

PDF Creator


 

PDF Creator


Pakowhai Hall

Attachment 11

 

PDF Creator


 

PDF Creator


 

PDF Creator


 

PDF Creator


 

PDF Creator


 

PDF Creator


 

PDF Creator


Maraekakaho Hall

Attachment 12

 

PDF Creator


 

PDF Creator


 

PDF Creator


 

PDF Creator


 

PDF Creator


 

PDF Creator


 

PDF Creator


 

PDF Creator


 

PDF Creator


 

PDF Creator


 

PDF Creator


 

PDF Creator


 

PDF Creator


Maraekakaho Hall

Attachment 12

 

PDF Creator


Maraekakaho Hall

Attachment 12

 

PDF Creator


 

PDF Creator


 

PDF Creator


 

PDF Creator


Rural Hall Survey - Maraekakaho

Attachment 13

 

PDF Creator


 

PDF Creator


 

PDF Creator


 

PDF Creator


 

PDF Creator


Rural Hall Survey - Te Awanga

Attachment 14

 

PDF Creator


 

PDF Creator


 

PDF Creator


 

PDF Creator


Rural Hall Survey - Farndon Park Domain Hall

Attachment 15

 

PDF Creator


 

PDF Creator


Rural HallSurvey - Pakowhai

Attachment 16

 

PDF Creator


 

PDF Creator


 

PDF Creator


 

PDF Creator


 

PDF Creator


Twyford & Raupare Memorial Hall

Attachment 17

 

PDF Creator


 

PDF Creator


 

PDF Creator


 

PDF Creator